什么是动刚度?
什么是动刚度?

在NVH领域,经常计算或测试动刚度,像悬置动刚度、支架动刚度、车身接附点动刚度等等。那什么是动刚度,动刚度的大小对结构有什么影响?
本文主要内容包括:
1. 静刚度;
2. 单自由度动刚度;
3. 多自由度动刚度;
4. 原点动刚度;
5. 悬置动刚度;
6. 支架动刚度;
刚度是指结构或材料抵抗变形的能力。由于结构或材料所受荷载的不同,可能受到静载荷或动载荷,因此,刚度又分为静刚度和动刚度。当结构或材料受到静载荷时,抵抗静载荷下的变形能力称为静刚度;当受到动载荷时,抵抗动载荷下的变形能力称为动刚度。故,结构或材料既有静刚度又有动刚度。
相对而言,在NVH领域,结构或材料受到动载荷的概率远大于静载荷,因此,更普遍关心动刚度。在之前文章《什么是频响函数FRF?》中也提到用加速度与力之比的频响函数和用力与位移之比的动刚度应用更为广泛。
1.静刚度
在讲述动刚度之前,有必要先了解静刚度。静刚度用单值即可表示,不随频率变化。由于静载荷引起的变形又分为弯曲或扭转等,因此,刚度又分为抗弯刚度和抗扭刚度,材料的刚度计算可参考材料力学教科书。
在这以弹簧为例说明静刚度,当弹簧受到静力F时,其静态伸长量为X,此时F=kX,k为弹簧的静刚度。单位为N/mm,表示每增加1mm需要的拉力大小。
弹簧静刚度常数跟材料的杨氏模量、线径、中径和有效圈数有关。当拉力越来越大时,弹簧的伸长量也增大,如下图所示,但二者满足线性关系。红色曲线表示的斜率即为弹簧静刚度。

注:以下所说到的刚度,如没有特殊说明,都是指的动刚度。
2. 单自由度动刚度
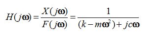
在文章《什么是频率函数FRF?》中,我们已经明白了频响函数可以用位移/力表示,当用力/位移时,表示的是动刚度。对于单自由度系统,如下图所示,我们再回顾一下用位移表征的FRF表达式


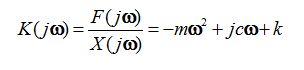
而动刚度为力与位移之比,则

从上式可以看出动刚度:
1) 复值函数;
2) 随频率变化;
3) 与系统的质量、阻尼和静刚度有关;
4) 当频率等于0时,动刚度等于静刚度;
让我们再回想一下单自由度系统的FRF区域及性质

同理,单自由度系统的动刚度曲线也有类似性质

在低频段,动刚度接近静刚度,幅值是k,表明共振频率以下的频率段主要用占主导地位的刚度项来描述。如果作用在系统的外力变化很慢,即外力变化的频率远小于结构的固有频率时,可以认为动刚度和静刚度基本相同。
在高频段,动刚度的幅值为ω2m,表明共振频率以上的频率段主要用占主导地位的质量项来描述,这是因为质量在高频振动中,产生很大的惯性阻力。当外力的频率远大于结构的固有频率时,结构则不容易变形,即变形较小,此时结构的动刚度相对较大,也就是抵抗变形的能力强。
在共振频率处动刚度的幅值下降明显,其幅值为ωc,表明在共振频率处主要受阻尼控制。而在共振频率处,我们知道,结构很容易被外界激励起来,结构的变形最大,因而结构抵抗变形的能力最小,也就是动刚度最小。
3. 多自由度动刚度
单自由度系统是基础,但现实世界中的系统大多数都是多自由度系统,因此,我们测量出来的动刚度也是多自由度的动刚度。下图为多自由度系统的同一位置的加速度频响函数(加速度导纳)和该点的动刚度曲线。

多自由度系统的驱动点FRF存在多个共振峰和反共振峰,在共振峰处,对结构施加很小的激励能量,结构就会产生非常大的振动(变形),因而在共振峰处,结构很容易被激励起来,结构的变形大,抵抗变形的能力弱,也就是动刚度小。
在反共振峰所对应的频率处进行激励,即使激励能量再大,结构也没有响应或者响应很微弱,也就是说在反共振峰所对应的频率处,结构很难被激励起来,结构的变形小,抵抗变形的能力强,因此,动刚度大。
从上图可以看出,频响函数共振峰对应的是动刚度曲线的极小值,也就是说频响函数幅值大的频率处,动刚度小。在反共振峰处,动刚度大,二者刚好相反。
4. 原点动刚度
原点动刚度IPI(Input Point Inertance,IPI):概念上类似原点(或称作驱动点)频响函数,指的是同一位置、同一方向上的激励力与位移之比,主要测量与车身接附点处的原点动刚度,比如车身与发动机悬置、副车架、悬架连接处、排气挂钩处等位置的局部动刚度,考虑的是在所关注的频率范围内该接附点局部区域的刚度水平,过低必须引起更大的噪声,因此,该性能指标对整车的NVH性能有较大的影响。动刚度不足会对整车乘坐舒适性和车身结构件的疲劳寿命产生十分不利的影响。下图为某接附点的动刚度测量曲线。

另外通过动刚度乘以主被侧的相对位移,得到传递力,如挂钩力。一般对豪华车,挂钩传递力<2N,中级轿车<5N,一般经济型轿车<10N。当这个力大于10N时,在车内可能会感受来自排气系统的振动和挂钩传递过来的结构噪声。
5.悬置动刚度
在作悬置隔振器设计时,要求在低频时,刚度要大;在高频时,刚度越低越好。这是为什么呢?
首先,悬置隔振器要承受动力总成的重量和来自发动机扭矩的作用力,它必须有足够的刚度。路面的冲击和发动机启动时的摇摆会作用到隔振器上,这些激励频率比较低。如果隔振器刚度低,动力总成会产生较大的位移,可能会与其他结构相碰撞,并且影响到安置在动力总成上的其他部件。因此,在低频段,要求隔振器的刚度大。
另一方面,通过单自由度隔振系统传递率曲线,如下图,可以看出,在隔振区内,激励频率与系统固有频率的比值越大,隔振效果越好,即隔振器刚度越低越好。于是一个理想隔振器的刚度应该在低频时刚度高,而高频时刚度低。

通过前面的单自由度系统的FRF和动刚度分析可知,在共振区范围内,阻尼对降低振动幅值起决定作用。可是在隔振区域内(激励频率与系统频率之比大于1.414),情况是相反的。从上图可以看出,在高频段,阻尼越大,传递率的幅值也大。因此,为了有效地达到隔振的效果,在高频时阻尼越小越好。
6. 支架动刚度
隔振装置隔振效果除了取决系统的刚度与阻尼之外,还取决于隔振器支架的刚度。隔振器两边各有一个支架,支架-隔振器-支架,三者串联起来的总刚度才是隔振系统的刚度。

如果两个支架的刚度都非常大,那么隔振系统的刚度就是隔振器的刚度。可是当支架的刚度比较小时,达不到设计的隔振效果。支架刚度不足还会引起局部结构的共振,甚至将结构噪声传递到车厢内。
为了达到良好的隔振效果,支架的刚度必须要比隔振器的刚度大到一定程度。通常遵循两个原则:支架的刚度应是隔振器刚度的6-10倍,另一个是支架的最低频率应该在500Hz以上。
除了悬置支架之外,在车辆系统中还有其他应用,如排气系统,其支架刚度的设计必须具有足够的刚度。